平衡流量计是在标准孔板和流动调整器的基础上研发的一种新型节流式流量传感器。平衡流量计可用于各种扰动的下游,以最短的直管段敷设提供卓越的性能。
测量原理
平衡流量计是一种节流式流量传感器。它采用调整器式的孔板结构,可以应用在上游有扰动流场因素的场合。
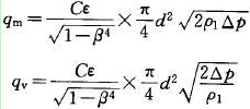
流量计算公式:

式中:qm ,qv——分别为质量流量(㎏/s)和体积流量(m 3/s);
C——流出系数 ;
ε——可膨胀性系数;
d——节流件开孔直径,m;
β——直径比,β=d/D;
D——管道内经,m;
ρ1——被测流体密度,㎏/m 3;
Δp——差压,Pa;
特点
1、线性度高、重复性好
平衡流量传感器具有对称多孔结构特点,能对流场进行平衡,降低了涡流、振动和信号噪声,流场稳定性大大提高,使线性度比孔板提升了5~10倍,重复性提高了54%,为0.15%,从其综合性能来看,平衡流量计属于高档流量计行列。
2、直管段要求低
平衡流量传感器由于流场稳定,且压力恢复比孔板快两倍,大大所短了对直管段的要求,其前后直管段一般为前3D后1D,最小可以小于0.5D,从而省去大量直管段,尤其是特殊昂贵材料的管道。
3、减少永久压力损失
多孔对称的平衡设计,减少了紊流剪切力和涡流的形成,降低了动能的损失,在同样的测量工况下,与孔板相比减少了2.5倍的永久压力损失,从而节省了相当大的运行能量成本,是一种节能型仪表。
4、耐脏污不易堵
多孔对称的平衡设计,减少了紊流剪切力和涡流的形成,从而大大降低了滞留死区的形成,保证脏污介质顺利通过多个孔,减小了流体孔被堵塞的机会。
5、可直接替换孔板
平衡流量传感器与孔板具有相同的使用方法和外形,因此可以直接进行替换,不需要任何配管的变化和相关仪表的更改,很适合全厂能源计量改造中将孔板改为平衡流量计。
6、流量测量范围宽
根据试验结果,我们了解到:平衡流量计的性能,使其流速可以从最小到音速;其最小雷诺数可低于200,最大雷诺数大于10 7;β值可选0.25~0.90。
7、长期稳定性好
由于其紊流剪切力的明显减小,大幅度降低了介质与节流件直接的摩擦,其β值长期保持不变,整个仪表无可动部件,因此可以长期保持稳定性。
8、可测高温高压介质
与孔板等节流装置一样,工作温度压力取决于管道和法兰的材质和等级,工作温度可达850℃,工作压力可达42MPa。
9、可测复杂工况介质
由于其特殊的结构设计,使其具有特殊的性能,它可以进行气液两相、泥浆,甚至固体颗粒测量。平衡流量可以测双向流。
主要技术参数
1.管道尺寸:15 ≤D≤ 600 mm(超出此范围可特殊订货)
2.公称压力:PN≤16MPa(超出此范围可特殊订货)
3.孔径比:0.25≤β≤0.90
4.雷诺数范围:当0.25≤β≤0.90时,200≤ReD≥10 7
5.精度:0.5级
结构形式
平衡流量计采用法兰取压方式,见图1、图2

安装直管道要求(数值以管径D倍数表示)










